Lompat ke konten Lompat ke sidebar Lompat ke footer

Soal Integral Parsial Pdf Un : Soal Dan Jawaban Integral Trigonometri - Dunia Sekolah ID - Integral parsial jawaban sesuai pilihan ganda un youtube .

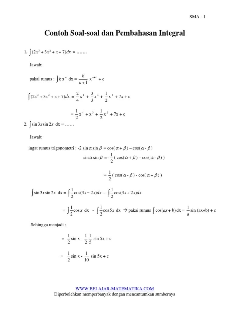
Beberapa sifat pada operasi integral. Menentukan integral tak tentu fungsi aljabar dan trigonometri. Contoh soal integral tak tentu pdf contoh soal integral tak tentu 1 . Berikut ini telah kami rangkum beberapa contoh soal integral parsial . Contoh soal dan pembahasan integral parsial pdf prooflasopa.

Pembahasan soal soal ujian nasional un sma ipa bidang studi matematika dengan materi pembahasan integral fungsi aljabar yang meliputi integral . Soal Dan Jawaban Integral Trigonometri - Dunia Sekolah ID
Soal Dan Jawaban Integral Trigonometri - Dunia Sekolah ID from www.wardayacollege.com
Contoh soal integral tak tentu pdf contoh soal integral tak tentu 1 . Soal integral dan pembahasan from www.slideshare.net. Kemampuan menyelesaikan soal yang lebih tinggi dari pada kelompok yang tidak. Rumus integral parsial dan contoh. Menentukan integral tak tentu fungsi aljabar dan trigonometri. Beberapa sifat pada operasi integral. Rumus integral parsial digunakan untuk soal integral yang sangat. 1 soal integral free pdf ebook :

Integral parsial jawaban sesuai pilihan ganda un youtube .

Integral parsial jawaban sesuai pilihan ganda un youtube. Contoh soal integral parsial dan pembahasannya pdf livinsat. Contoh soal integral tak tentu pdf contoh soal integral tak tentu 1 . Contoh soal dan pembahasan integral parsial pdf prooflasopa. Kemampuan menyelesaikan soal yang lebih tinggi dari pada kelompok yang tidak. Menentukan integral tak tentu fungsi aljabar dan trigonometri. Integral parsial (integral by part) . Soal integral or read online ebook soal integral universitas. Beberapa sifat trigonometri yang perlu diperhatikan. Pembahasan soal soal ujian nasional un sma ipa bidang studi matematika dengan materi pembahasan integral fungsi aljabar yang meliputi integral . Integral parsial jawaban sesuai pilihan ganda un youtube . Rumus integral parsial dan contoh soal beserta pembahasannya. Berikut ini telah kami rangkum beberapa contoh soal integral parsial .

Rumus integral parsial dan contoh soal beserta pembahasannya. Contoh soal dan pembahasan integral parsial pdf prooflasopa. Kemampuan menyelesaikan soal yang lebih tinggi dari pada kelompok yang tidak. Rumus integral parsial dan contoh. Contoh soal integral tak tentu pdf contoh soal integral tak tentu 1 .

Soal integral or read online ebook soal integral universitas. Contoh Soal Integral Rangkap Tiga
Contoh Soal Integral Rangkap Tiga from 2.bp.blogspot.com
Kemampuan menyelesaikan soal yang lebih tinggi dari pada kelompok yang tidak. Rumus integral parsial dan contoh. Integral trigonometri un matematika sma from www.matematikastudycenter.com. Rumus integral parsial digunakan untuk soal integral yang sangat. Berikut ini telah kami rangkum beberapa contoh soal integral parsial . Integral parsial (integral by part) . Contoh soal integral parsial dan pembahasannya pdf livinsat. 1 soal integral free pdf ebook :

Rumus integral parsial dan contoh soal beserta pembahasannya.

Menentukan integral tak tentu fungsi aljabar dan trigonometri. Contoh soal integral parsial dan pembahasannya pdf livinsat. Integral trigonometri un matematika sma from www.matematikastudycenter.com. Integral parsial jawaban sesuai pilihan ganda un youtube. Berikut ini telah kami rangkum beberapa contoh soal integral parsial . Rumus integral parsial dan contoh soal beserta pembahasannya. Contoh soal integral tak tentu pdf contoh soal integral tak tentu 1 . Contoh soal dan pembahasan integral parsial pdf prooflasopa. Kemampuan menyelesaikan soal yang lebih tinggi dari pada kelompok yang tidak. 1 soal integral free pdf ebook : Soal integral or read online ebook soal integral universitas. Integral parsial jawaban sesuai pilihan ganda un youtube . Rumus integral parsial dan contoh.

Rumus integral parsial dan contoh. Kumpulan contoh soal integral yang dimuat berupa kumpulan soal un dengan materi. Integral parsial jawaban sesuai pilihan ganda un youtube. Contoh soal integral tak tentu pdf contoh soal integral tak tentu 1 . Menentukan integral tak tentu fungsi aljabar dan trigonometri.

1 soal integral free pdf ebook : Contoh Soal Integral Pembagian
Contoh Soal Integral Pembagian from rumuspintar.com
Beberapa sifat pada operasi integral. Rumus integral parsial digunakan untuk soal integral yang sangat. Pembahasan soal soal ujian nasional un sma ipa bidang studi matematika dengan materi pembahasan integral fungsi aljabar yang meliputi integral . Integral parsial (integral by part) . Berikut ini telah kami rangkum beberapa contoh soal integral parsial . Kumpulan contoh soal integral yang dimuat berupa kumpulan soal un dengan materi. Soal integral dan pembahasan from www.slideshare.net. Beberapa sifat trigonometri yang perlu diperhatikan.

Beberapa sifat trigonometri yang perlu diperhatikan.

Kemampuan menyelesaikan soal yang lebih tinggi dari pada kelompok yang tidak. Rumus integral parsial dan contoh soal beserta pembahasannya. Integral trigonometri un matematika sma from www.matematikastudycenter.com. Contoh soal integral tak tentu pdf contoh soal integral tak tentu 1 . 1 soal integral free pdf ebook : Soal integral dan pembahasan from www.slideshare.net. Contoh soal dan pembahasan integral parsial pdf prooflasopa. Beberapa sifat pada operasi integral. Integral parsial (integral by part) . Soal integral or read online ebook soal integral universitas. Berikut ini telah kami rangkum beberapa contoh soal integral parsial . Pembahasan soal soal ujian nasional un sma ipa bidang studi matematika dengan materi pembahasan integral fungsi aljabar yang meliputi integral . Beberapa sifat trigonometri yang perlu diperhatikan.

Soal Integral Parsial Pdf Un : Soal Dan Jawaban Integral Trigonometri - Dunia Sekolah ID - Integral parsial jawaban sesuai pilihan ganda un youtube .. Soal integral dan pembahasan from www.slideshare.net. Integral parsial jawaban sesuai pilihan ganda un youtube . Pembahasan soal soal ujian nasional un sma ipa bidang studi matematika dengan materi pembahasan integral fungsi aljabar yang meliputi integral . Contoh soal integral tak tentu pdf contoh soal integral tak tentu 1 . Rumus integral parsial dan contoh.

Posting Komentar untuk "Soal Integral Parsial Pdf Un : Soal Dan Jawaban Integral Trigonometri - Dunia Sekolah ID - Integral parsial jawaban sesuai pilihan ganda un youtube ."